新聞中心
某大型球磨機的變頻電機功率P=1500kW,轉速n=200r/min,通過聯軸器與小齒輪軸聯接。小齒輪軸材質35CrMo,半聯軸器材質45#剛,結合直徑df=275mm,有效結合長度lf=320mm。徑長比等于0386,故此聯接為短結合聯接。又因球磨機載荷性質屬于沖擊載荷,且此球磨機載荷為重載,為保證有效的傳遞轉矩,需要對小齒輪軸輸入端與聯軸器的連接方式進行設計與校核。
一、方案的確定
此聯接對中性要求比較高,考慮選用普通平鍵,根據結合直徑df=275mm,查《機械設計手冊》可選公稱尺寸為bxh=63 mmx32mm的平鍵。此軸段長為332,選擇L300mm的A型建可合理、最大限度地承受載荷。
根據公式p=2T/(dfkl)≤σpp和τ=2T(dfbl)≤τpp校核鍵的擠壓強度和剪切強度。其中,所傳遞轉矩T=9549p/n=71.62kNm,鍵與轂的接觸高度k=0.5 h=16mm,鍵的工作長度l=L-b=237mm,鍵的需用擠壓應力σpp=60MPa,需用剪切應力Tp=60MPa。則:

如果選用雙鍵,按1.5個鍵考慮。,則p雙=137.36/1.5=91.57MPa>σpp。
無論是選擇單鍵還是雙鍵,鍵的擠壓強度均不合格,故鍵聯接不能夠滿足傳遞此轉矩的需要。
考慮用過盈聯接傳遞此轉矩。球磨機小齒輪軸與半聯軸器的聯接屬重要連接,在必要時需要拆卸,故選擇H/r配合。考慮到加工的經理性和配合所需的精度,選擇孔的精度為7級,軸為6級,即配合為H7/r6。查《機械設計手冊》可得知:配合Φ275H7/r6的最小過盈量[〥min]=0.042mm最大過盈量[〥mer]=0.126mm。
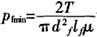
1、根據傳遞轉矩所需的最小結合壓強求出最小有效過盈量。
由
計算出傳遞此轉矩所需要的最小結合壓強。考慮球磨機此聯接的重量及結構尺寸均較大,采用熱裝法,故障摩擦因數μ=0.14。則:

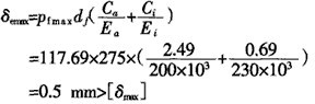
由
計算出最小效過盈量。其中,半聯軸器的彈性模量Ea=200GPa,剛性系數

外徑do=450mm,泊松比Vo=0.3;小齒輪軸的彈性模量Ei=230GPa,剛性系數

小齒輪軸為實心軸,其內徑di=0,泊松比Vi=0.31。則

2、根據聯接件不產生塑性變形所允許的最大壓強求出最大有效過盈量
最大壓強
取半聯軸器所允許的最大壓強
與小齒輪軸所允許的最大壓強
中較小者。

其中,半聯軸器的屈服強度
MPa。
取
,則最大有效過盈量

故過盈聯接不能可靠地傳遞此轉矩。
因單獨采用健聯接或過盈聯接均不能可靠地傳遞此轉矩,故考慮用鍵聯接與過盈聯接共同傳遞此轉矩。
二、設計計算
在此聯接中,軸與孔之間有一定的過盈量。實現過盈裝配后二者之間既無相互轉動也無相互移動。工作時,一部分轉矩由軸孔配合面間的摩擦阻力矩傳遞,剩余的轉矩由健聯接來承受。
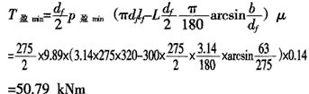
1、計算過盈配合Φ275 H7/r6所能承受的最大、最小轉矩
當
時,軸孔結合面的徑向壓強最小,配合所能承受的轉矩最小。最小結合壓強

最小轉矩

當
時,軸孔結合面間的徑向壓強最大,配合所能承受的轉矩最大。最大結合壓強

最大轉矩

由以上計算可知,當過盈量較小時候轉矩由過盈聯與鍵聯接共同傳遞,當過盈量接近最大值時,過盈聯接可單獨傳遞轉矩,健聯接不傳遞轉矩。
2、根據健聯接所承受的最大轉矩校核鍵的強度

擠壓強度
剪切強度
上一篇:水泥球磨機的鋼球裝載量、計算公式